欢迎光临:莱耀标准品网!
 您的位置:对照品 > 对照品 > 中检所对照品 >
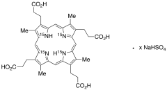
Coproporphyrin I-15N4 Sodium BIsulfate Salt (>80%, contains up to 15% Coproporphryi
产品基本信息
产品编号:C685402
产品名称:Coproporphyrin I-15N4 Sodium BIsulfate Salt (>80%, contains up to 15% Coproporphryi
产品CAS:
规格含量:5mg
产品价格:面议
联系我们:
产品详细介绍
标准品编号: C685402
名称: Coproporphyrin I-15N4 Sodium BIsulfate Salt (>80%, contains up to 15% Coproporphryin III)
别名: 3,8,13,18-Tetramethyl-21H,23H-porphine-2,7,12,17-tetrapropanoic Acid-15N4 Sodium BIsulfate Salt; 3,8,13,18-Tetramethyl- 2,7,12,17-porphinetetrapropionic Acid-15N4 Sodium BIsulfate Salt; 3,8,13,18-Tetramethyl-21H,23H-porphine-2,7,12,17-tetrapropionic Acid-15N4 Sodium BIsulfate Salt; NSC 267073-15N4 Sodium BIsulfate Salt;
参考CAS: unlabelled free acid: 531-14-6
分子式: C₃₆H₃₈¹⁵N₄O₈ -xNaHSO₄
外观: Dark Purple Solid
分子量: 658.68
储存: Amber Vial, -20ËšC Freezer, Under Inert Atmosphere
溶解度: DMSO (Slightly), Methanol (Slightly), Water (Very Slightly, Heated)
类别: Building Blocks; Isotopic Labeled Analogues; Pharmaceutical/API Drug Impurities/Metabolites;
应用: Labelled Coproporphyrin I. Coproporphyrin I is a porphyrin, a naturally occuring aromatic heterocyclic marcomolecule. The ratio of Coproporphyrin I and Coproporphyrin III provides a useful biochemical marker for distinguishing familial and sporadic porphyria cutanea tarda. Coproporphyrin I also serve as a biomarker of environmental toxicity and susceptibility in autism.
参考文献


2011-2018 信阳莱耀生物科技有限公司 @ 信阳埃尔文生物科技有限公司版权所有

中检所标准品,对照品,标准气体
Keywords: 中检所标准品 对照品 标准气体