您的位置:对照品 > 对照品 > 液相标准品 > |
|
|
|
| 产品基本信息 |
|
| 产品编号:C51H82O21 |
| 产品名称:重楼皂苷VII(重楼皂甙VII)对照品 |
| 产品CAS:68124-04-9 |
| 规格含量:20mg |
| 产品价格:980 |
| 联系我们: |
|
|
|
|
|
| 产品详细介绍 |
|
中文名称 |
重楼皂苷VII对照品 |
中文别名 |
重楼皂甙VII |
|
英文名 |
Polyphyllin VII |
英文别名 |
Chonglouoside VII |
|
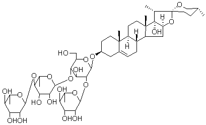
分子式 |
|
C51H82O21 |
分子量 |
1031.2 |
CAS登录号 |
68124-04-9 |
|
|
提取来源 |
|
百合科植物云南重楼Paris yunnanensis Franch. 的根茎 |
化学结构 |
|
|
外观 |
|
白色粉末 |
 |
|
NMR; MS |
|
4℃冷藏、密封、避光 |
|
2年 |
|
无 |
|
|
鉴别方法 |
|
贮存条件 |
|
有效期 |
|
注意事项 |
|
溶解性 |
补充中 |
|
测定方法 |
以十八烷基硅烷键合硅胶为填料,以乙腈-水(41:59),流速:1.0mL/min,柱温:室温,检测波长:203nm, 理论板数按重楼皂苷VII峰计算应不低于4000。 |
|
药典测定方法 |
补充中 |
|
用途 |
用于含量测定/鉴定/药理实验等 |
|
|
|
|
|