欢迎光临:莱耀标准品网!
 您的位置:对照品 > 对照品 > 对照药材 >
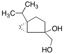
(1R,​5S)​-2-​Hydroxy-​5-​(1-​methylethyl)​-bicyclo[3.1.0]​hexane-​2-​me
产品基本信息
产品编号:H946673
产品名称:(1R,​5S)​-2-​Hydroxy-​5-​(1-​methylethyl)​-bicyclo[3.1.0]​hexane-​2-​me
产品CAS:1933700-48-1
规格含量:10mg
产品价格:面议
联系我们:
产品详细介绍
标准品编号: H946673
名称: (1R,​5S)​-2-​Hydroxy-​5-​(1-​methylethyl)​-bicyclo[3.1.0]​hexane-​2-​methanol
别名: (1R,5S)-2-(Hydroxymethyl)-5-isopropylbicyclo[3.1.0]hexan-2-ol
CAS号: 1933700-48-1
分子式: C₁₀H₁₈O₂
外观: 白色固体
分子量: 170.25
溶解度: Dichloromethane, Ethyl Acetate
种类: Standards; Chiral Molecules; Pharmaceutical/API Drug Impurities/Metabolites;
应用: (1R,​5S)​-2-​Hydroxy-​5-​(1-​methylethyl)​-bicyclo[3.1.0]​hexane-​2-​methanol is an intermediate in synthesizing (+)-Sabinene (S080750), a component of juniper berry oil having antibacterial and anti-fungal activity.
参考文献


2011-2018 信阳莱耀生物科技有限公司 @ 信阳埃尔文生物科技有限公司版权所有

中检所标准品,对照品,标准气体
Keywords: 中检所标准品 对照品 标准气体