欢迎光临:莱耀标准品网!
 您的位置:对照品 > 对照品 > 对照药材 >
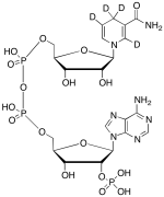
β-NADPH-d4
产品基本信息
产品编号:N201504
产品名称:β-NADPH-d4
产品CAS:53-57-6
规格含量:
产品价格:面议
联系我们:
产品详细介绍
标准品编号: N201504
名称: β-NADPH-d4
别名: 51: PN: WO2004076659 FIGURE: 7 claimed sequence-d4; Codehydrase II, reduced-d4; Codehydrogenase II, reduced-d4; Coenzyme II, reduced-d4; Cozymase II, reduced-d4; Dihydrocodehydrogenase II-d4; NADPH-d4; NADPH2-d4; Nicotinamide-adenine dinucleotide phosphate, reduced-d4; Reduced codehydrogenase II-d4; Reduced nicotinamide adenine dinucleotide phosphate-d4; Reduced triphosphopyridine nucleotide; TPNH-d4; Triphosphopyridine nucleotide, reduced-d4; β-NADPH-d4; β-Nicotinamide-adenine-dinucleotide-phosphoric acid-d4; β-TPNH-d4
CAS号: 53-57-6
参考CAS号: 53-57-6 unlabelled
分子式: C₂₁H₂₆D₄N₇O₁₇P₃
分子量: 749.45
种类: Standards; Isotopic Labeled Analogues; Carbohydrates and Oligosaccharides;
应用: β-NADPH-d4 is the isotope labelled analog of β-NADPH. One of the biologically active forms of nicotinic acid. Differs from NAD by an additional phosphate group at the 2’-position of the adenosine moiety. Serves as a coenzyme of hydrogenases and dehydrogenases. Present in living cells primarily in the reduced form (NADPH) and is involved in synthetic reactions.
参考文献


2011-2018 信阳莱耀生物科技有限公司 @ 信阳埃尔文生物科技有限公司版权所有

中检所标准品,对照品,标准气体
Keywords: 中检所标准品 对照品 标准气体