欢迎光临:莱耀标准品网!
 您的位置:对照品 > 对照品 > 对照药材 >
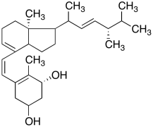
4-Methyl trans-Doxercalciferol
产品基本信息
产品编号:M493275
产品名称:4-Methyl trans-Doxercalciferol
产品CAS:1818286-63-3
规格含量:2.5mg
产品价格:面议
联系我们:
产品详细介绍
标准品编号: M493275
名称: 4-Methyl trans-Doxercalciferol
别名: (3R)-5-((Z)-2-((7aS)-1-((5S,E)-5,6-Dimethylhept-3-en-2-yl)-7a-methyl-2,3,3a,6,7,7a-hexahydro-1H-inden-4-yl)vinyl)-4-methylcyclohex-4-ene-1,3-diol
CAS号: 1818286-63-3
分子式: C₂₈H₄₄O₂
分子量: 412.65
种类: Standards; Vitamin Derivatives; Vitamin D Derivatives;
应用: 4-Methyl trans-Doxercalciferol is a degradation product of Doxercalciferol (D552540), a Vitamin D derivative.
参考文献


2011-2018 信阳莱耀生物科技有限公司 @ 信阳埃尔文生物科技有限公司版权所有

中检所标准品,对照品,标准气体
Keywords: 中检所标准品 对照品 标准气体