欢迎光临:莱耀标准品网!
 您的位置:对照品 > 对照品 > 对照药材 >
1-Methyl-3-(3’-pyridylcarbonyl-1,2’,3’,4’,5&rs
产品基本信息
产品编号:M325947
产品名称:1-Methyl-3-(3’-pyridylcarbonyl-1,2’,3’,4’,5&rs
产品CAS:1189492-36-1
规格含量:2.5mg
产品价格:面议
联系我们:
产品详细介绍
标准品编号: M325947
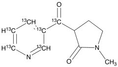
名称: 1-Methyl-3-(3’-pyridylcarbonyl-1,2’,3’,4’,5’,6’-13C6-pyrrolidinone
CAS号: 1189492-36-1
参考CAS号: 125630-28-6 unlabelled
分子式: C₅¹³C₆H₁₂N₂O₂
外观: Brown Oil
分子量: 210.18
溶解度: Dichloromethane, Ethyl Acetate, Methanol
种类: Standards; Isotopic Labeled Analogues; Nicotine Derivatives and Metabolites;
应用: An amino alcohol metabolite of nicotine, and precursor to NNK.
参考文献


2011-2018 信阳莱耀生物科技有限公司 @ 信阳埃尔文生物科技有限公司版权所有

中检所标准品,对照品,标准气体
Keywords: 中检所标准品 对照品 标准气体