您的位置:对照品 > 对照品 > 对照药材 > |
|
|
|
| 产品基本信息 |
|
| 产品编号:M325664 |
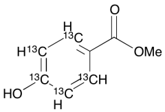
| 产品名称:Methyl Paraben-13C6 |
| 产品CAS:1581694-95-2 |
| 规格含量:10mg |
| 产品价格:面议 |
| 联系我们: |
|
|
|
|
|
| 产品详细介绍 |
| 标准品编号: |
M325664 |
| 名称: |
Methyl Paraben-13C6 |
| 别名: |
4-Hydroxybenzoic Acid Methyl Ester-13C6; 4-(Carbomethoxy)phenol-13C6; 4-(Methoxycarbonyl)phenol-13C6; 4-Hydroxybenzoic Acid Methyl Ester-13C6; 4-Hydroxymethyl Benzoate-13C6; Danisol M-13C6; E 218-13C6; Killitol-13C6; Maseptol-13C6; Mekkings M-13C6; Metaben-13C6; Metagin-13C6; Paridol-13C6; Preserval-13C6; Solbrol-13C6; |
| CAS号: |
1581694-95-2 |
| 参考CAS号: |
Unalbeled: 99-76-3 |
| 分子式: |
C₂¹³C₆H₈O₃ |
| 外观: |
白色固体 |
| 熔点: |
125-126°C |
| 分子量: |
158.1 |
| 储存: |
冰箱 |
| 溶解度: |
Chloroform (Slightly), Methanol (Slightly) |
| 种类: |
Standards; Isotopic Labeled Analogues; |
| 应用: |
Methyl Paraben-13C5, is the labeled analogue of Methyl Paraben (M325660), used as preservative in foods, beverages and cosmetics. |
| 参考文献 |
|
|
|
|
|
|
|
|