欢迎光临:莱耀标准品网!
 您的位置:对照品 > 对照品 > 对照药材 >
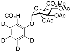
Methyl 1-(2-Carboxyphenyl)-2,3,4-tri-O-acetyl-α-D-glucopyranuronate-d4
产品基本信息
产品编号:M294907
产品名称:Methyl 1-(2-Carboxyphenyl)-2,3,4-tri-O-acetyl-α-D-glucopyranuronate-d4
产品CAS:
规格含量:10mg
产品价格:面议
联系我们:
产品详细介绍
标准品编号: M294907
名称: Methyl 1-(2-Carboxyphenyl)-2,3,4-tri-O-acetyl-α-D-glucopyranuronate-d4
别名: 2-Carboxyphenyl α-D-Glucopyranosiduronic Acid 6-Methyl Ester Triacetate-d4;
分子式: C₂₀H₁₈D₄O₁₂
外观: 白色固体
分子量: 458.41
溶解度: Chloroform, DCM, Ethyl Acetate
种类: Building Blocks; Isotopic Labeled Analogues; Pharmaceutical/API Drug Impurities/Metabolites;
应用: Isotope labelled intermediate in the synthesis of the metabolites of Nitazoxanide (N490100), an anthelmintic (cestodes), antiprotozoal (cryptosporidium) agent.
参考文献


2011-2018 信阳莱耀生物科技有限公司 @ 信阳埃尔文生物科技有限公司版权所有

中检所标准品,对照品,标准气体
Keywords: 中检所标准品 对照品 标准气体