欢迎光临:莱耀标准品网!
 您的位置:对照品 > 对照品 > 对照药材 >
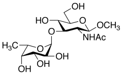
Methyl 2-Acetamido-2-deoxy-3-O-(α-L-fucopyranosyl)-β-D-glucopyranoside
产品基本信息
产品编号:M275150
产品名称:Methyl 2-Acetamido-2-deoxy-3-O-(α-L-fucopyranosyl)-β-D-glucopyranoside
产品CAS:169151-24-0
规格含量:5mg
产品价格:面议
联系我们:
产品详细介绍
标准品编号: M275150
名称: Methyl 2-Acetamido-2-deoxy-3-O-(α-L-fucopyranosyl)-β-D-glucopyranoside
别名: Methyl 2-(Acetylamino)-2-deoxy-3-O-(6-deoxy-α-L-galactopyranosyl)-β-D-glucopyranoside; Fuc1-α-3GlcNAc1-b-OMe
CAS号: 169151-24-0
分子式: C₁₅H₂₇NO₁₀
外观: 白色至白色固体
熔点: 279-281°C (dec.)
分子量: 381.38
储存: -20°C Freezer
溶解度: Water (Slightly, Sonicated)
种类: Standards; Carbohydrates and Oligosaccharides;
应用: Methyl 2-Acetamido-2-deoxy-3-O-(α-L-fucopyranosyl)-β-D-glucopyranoside (cas# 169151-24-0) is a compound useful in organic synthesis.
参考文献


2011-2018 信阳莱耀生物科技有限公司 @ 信阳埃尔文生物科技有限公司版权所有

中检所标准品,对照品,标准气体
Keywords: 中检所标准品 对照品 标准气体