您的位置:对照品 > 对照品 > 对照药材 > |
|
|
|
| 产品基本信息 |
|
| 产品编号:M260788 |
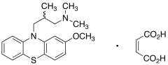
| 产品名称:rac Methotrimeprazine Maleate Salt |
| 产品CAS:17086-29-2 |
| 规格含量:10mg |
| 产品价格:面议 |
| 联系我们: |
|
|
|
|
|
| 产品详细介绍 |
| 标准品编号: |
M260788 |
| 名称: |
rac Methotrimeprazine Maleate Salt |
| 别名: |
2-Methoxy-N,N,β-trimethyl-10H-phenothiazine-10-propanamine Maleate; 10-[3-(dimethylamino)-2-methylpropyl]-2-methoxyphenothiazine Maleate; 2-Methoxytrimeprazine Maleate; |
| CAS号: |
17086-29-2 |
| 参考CAS号: |
chiral freebase: 60-99-1 |
| 分子式: |
C₂₃H₂₈N₂O₅S |
| 外观: |
白色至Pale Beige Solid |
| 熔点: |
162-165°C |
| 分子量: |
444.54 |
| 储存: |
-20°C Freezer |
| 溶解度: |
Methanol |
| 种类: |
Standards; Pharmaceutical/API Drug Impurities/Metabolites; |
| 应用: |
Analgesic. |
| 参考文献 |
|
|
|
|
|
|
|
|