欢迎光临:莱耀标准品网!
 您的位置:对照品 > 对照品 > 对照药材 >
(+/-)-Lisofylline
产品基本信息
产品编号:L469050
产品名称:(+/-)-Lisofylline
产品CAS:07/06/6493
规格含量:25mg
产品价格:面议
联系我们:
产品详细介绍
标准品编号: L469050
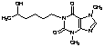
名称: (+/-)-Lisofylline
别名: 3,7-Dihydro-1-(5-hydroxyhexyl)-3,7-dimethyl-1H-purine-2,6-dione; 1-(5-Hydroxyhexyl)theobromine; (+/-)-1-(5-Hydroxyhexyl)-3,7-dimethylxanthine; BL 194; Pentoxifylline Alcohol; Hydroxy pentoxifylline
CAS号: 07/06/6493
分子式: C₁₃H₂₀N₄O₃
外观: 白色固体
熔点: 123-125°C
分子量: 280.32
储存: 冰箱
溶解度: DMSO (Slightly), Methanol (Slightly)
种类: Standards; Pharmaceutical/API Drug Impurities/Metabolites;
应用: A major oxidative metabolite of Pentoxifylline. A potent inhibitor of phosphatidic acid generation (IC50=0.6uM). Protects mice from endotoxic shock and attenuates sepsis-induced acute lung injury in pig.
参考文献


2011-2018 信阳莱耀生物科技有限公司 @ 信阳埃尔文生物科技有限公司版权所有

中检所标准品,对照品,标准气体
Keywords: 中检所标准品 对照品 标准气体