欢迎光临:莱耀标准品网!
 您的位置:对照品 > 对照品 > 对照药材 >
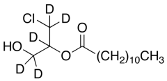
rac 2-Lauroyl-3-chloropropanediol-d5
产品基本信息
产品编号:L184757
产品名称:rac 2-Lauroyl-3-chloropropanediol-d5
产品CAS:1330055-73-6
规格含量:25mg
产品价格:面议
联系我们:
产品详细介绍
标准品编号: L184757
名称: rac 2-Lauroyl-3-chloropropanediol-d5
别名: Dodecanoic Acid 3-Chloro-1-hydroxypropy-d5 Ester; Lauric Acid 3-Chloro-1-hydroxy- propyl-d5 Ester; 3-Chloro-1-hydroxypropyl-d5 Laurate; Dodecanoic Acid 2-Chloro-1-(hydroxymethyl)ethyl-d5 Ester;
CAS号: 1330055-73-6
参考CAS号: 1329647-11-1 unlabelled
分子式: C₁₅H₂₄D₅ClO₃
分子量: 297.87
种类: Standards; Isotopic Labeled Analogues; Lipids/Fatty Acids, Glycerol Derivatives; Environmental Standards, Mutagens and Metabolites;
应用: rac 2-Lauroyl-3-chloropropanediol-d5 (cas# 1330055-73-6) is a compound useful in organic synthesis.
参考文献


2011-2018 信阳莱耀生物科技有限公司 @ 信阳埃尔文生物科技有限公司版权所有

中检所标准品,对照品,标准气体
Keywords: 中检所标准品 对照品 标准气体