欢迎光临:莱耀标准品网!
 您的位置:对照品 > 对照品 > 对照药材 >
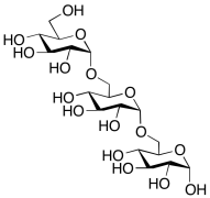
Isomaltotriose
产品基本信息
产品编号:I821298
产品名称:Isomaltotriose
产品CAS:3371-50-4
规格含量:25mg
产品价格:面议
联系我们:
产品详细介绍
标准品编号: I821298
名称: Isomaltotriose
别名: O-​α-​D-​glucopyranosyl-​(1→6)​-​O-​α-​D-​glucopyranosyl-​(1→6)​-D-​Glucose; 6-α-Isomaltosylglucose
CAS号: 3371-50-4
分子式: C₁₈H₃₂O₁₆
分子量: 504.44
种类: Standards; Carbohydrates and Oligosaccharides;
应用: Isomaltotriose (CAS# 3371-50-4) is a polysaccharide used in the preparation of isomaltooligosaccharides, which are low glycemic sweeteners. Isomaltotriose is also used to form carbohydrate cluster microarrays for use in functional glycomics exploration.
参考文献


2011-2018 信阳莱耀生物科技有限公司 @ 信阳埃尔文生物科技有限公司版权所有

中检所标准品,对照品,标准气体
Keywords: 中检所标准品 对照品 标准气体