欢迎光临:莱耀标准品网!
 您的位置:对照品 > 对照品 > 对照药材 >
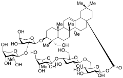
Hederacoside C
产品基本信息
产品编号:H129970
产品名称:Hederacoside C
产品CAS:14216-03-6
规格含量:50mg
产品价格:面议
联系我们:
产品详细介绍
标准品编号: H129970
名称: Hederacoside C
别名: O-6-Deoxy-β-D-α-L-mannopyranosyl-(1→4)-O-β-D-glucopyranosyl-(1→6)-glucopyranose, 1-Ester with 3β-[[2-O-(6-deoxy-α-L-mannopyranosyl)-α-L-arabinopyranosyl]oxy]-23-hydroxyolean-12-en-28-oic Acid; 23-Hydroxy-3β-[(O-α-L-rhamnopyranosyl-(1→2)-α-L-arabinopyranosyl)oxy]olean-12-en-28-oic Acid O-α-L-rhamnopyranosyl-(1→4)-O-β-D-glucopyranosyl-(1→6)-β-D-glucopyranosyl Ester; 3-O-α-L-Rhamnopyranosyl-(1→2)-α-L-arabinopyranosylhederagenin 28-O-α-L-rhamnopyranosyl-(1→4)-β-D-glucopyranosyl-(1→6)-β-D-glucopyranoside; Akebia Saponin PK; Akeboside Sth; Clematangoside A; Glycoside L-H2; Hederacoside C; Hederagenin 3-O-α-L-rhamnopyranosyl(1→2)-α-L-arabinopyranosyl-28-O-α-L-rhamnopyranosyl(1→4)-β-D-glucopyranosyl(1→6)-β-D-glucopyranoside; Hederasaponin C; Hederoside H
CAS号: 14216-03-6
分子式: C₅₉H₉₆O₂₆
外观: 白色至白色固体
熔点: >210°C (Subl.)
分子量: 1221.38
储存: -20°C Freezer, Under inert atmosphere
溶解度: DMSO (Slightly), Methanol (Slightly), Pyridine (Sparingly)
种类: Standards; Pharmaceutical/API Drug Impurities/Metabolites;
应用: Hederacoside C is a Hedera helix leaf which has been used in botanical drug formulations to treat acute respiratory infection and bronchitis. Anti-myocardial.
参考文献


2011-2018 信阳莱耀生物科技有限公司 @ 信阳埃尔文生物科技有限公司版权所有

中检所标准品,对照品,标准气体
Keywords: 中检所标准品 对照品 标准气体