您的位置:对照品 > 对照品 > 对照药材 > |
|
|
|
| 产品基本信息 |
|
| 产品编号:G635410 |
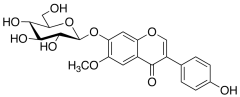
| 产品名称:Glycitin |
| 产品CAS:40246-10-4 |
| 规格含量:5mg |
| 产品价格:面议 |
| 联系我们: |
|
|
|
|
|
| 产品详细介绍 |
| 标准品编号: |
G635410 |
| 名称: |
Glycitin |
| 别名: |
7-(β-D-glucopyranosyloxy)-3-(4-hydroxyphenyl)-6-methoxy-4H-1-benzopyran-4-one; Glycitein 7-O-Glucoside; Glycitein 7-O-β-glucoside; Glycitein-7-β-O-glucoside; |
| CAS号: |
40246-10-4 |
| 分子式: |
C₂₂H₂₂O₁₀ |
| 外观: |
白色固体 |
| 熔点: |
216-230°C |
| 分子量: |
446.4 |
| 储存: |
Hygroscopic, -20°C Freezer, Under inert atmosphere |
| 溶解度: |
DMSO |
| 稳定性: |
Hygroscopic |
| 种类: |
Standards; Pharmaceutical/API Drug Impurities/Metabolites; |
| 应用: |
A metabolite of isoflavone derivatives. A derivative of Glycitein. Inhibitor. |
| 参考文献 |
|
|
|
|
|
|
|
|