欢迎光临:莱耀标准品网!
 您的位置:对照品 > 对照品 > 对照药材 >
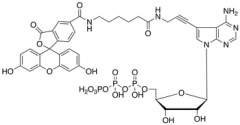
Fluorescein Alkynylamino-ATP
产品基本信息
产品编号:F485280
产品名称:Fluorescein Alkynylamino-ATP
产品CAS:185971-89-5
规格含量:
产品价格:面议
联系我们:
产品详细介绍
标准品编号: F485280
名称: Fluorescein Alkynylamino-ATP
别名: N-[6-[[3-[4-Amino-7-[5-O-[hydroxy[[hydroxy(phosphonooxy)phosphinyl]oxy]phosphinyl]-β-D-ribofuranosyl]-7H-pyrrolo[2,3-d]pyrimidin-5-yl]-2-propynyl]amino]-6-oxohexyl]-3',6'-dihydroxy-3-oxospiro[isobenzofuran-1(3H),9'-[9H]xanthene]-ar-carboxamide;
CAS号: 185971-89-5
分子式: C₄₁H₄₁N₆O₂₀P₃
分子量: 1030.71
种类: Research Tools; Molecular Biology; Fluorescent Reagents; Carbohydrates and Oligosaccharides;
应用: Fluorescent ribonucleotides as substrates in terminal transferase-catalyzed labeling of DNA sequencing primers.
参考文献


2011-2018 信阳莱耀生物科技有限公司 @ 信阳埃尔文生物科技有限公司版权所有

中检所标准品,对照品,标准气体
Keywords: 中检所标准品 对照品 标准气体