欢迎光临:莱耀标准品网!
 您的位置:对照品 > 对照品 > 对照药材 >
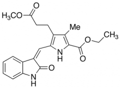
5-Ethoxycarbonyl SU 5402 Methyl Ester
产品基本信息
产品编号:E891660
产品名称:5-Ethoxycarbonyl SU 5402 Methyl Ester
产品CAS:258831-76-4
规格含量:25 mg
产品价格:面议
联系我们:
产品详细介绍
标准品编号: E891660
名称: 5-Ethoxycarbonyl SU 5402 Methyl Ester
别名: 2-[(1,2-Dihydro-2-oxo-3H-indol-3-ylidene)methyl]-5-(ethoxycarbonyl)-4-methyl-1H-pyrrole-3-propanoic Acid Methyl Ester;
CAS号: 258831-76-4
分子式: C₂₁H₂₂N₂O₅
外观: Orange Solid
分子量: 382.41
溶解度: Chloroform, Methanol
种类: Standards; Pharmaceutical/API Drug Impurities/Metabolites;
应用: An intermediate in the production of SU 5402
参考文献


2011-2018 信阳莱耀生物科技有限公司 @ 信阳埃尔文生物科技有限公司版权所有

中检所标准品,对照品,标准气体
Keywords: 中检所标准品 对照品 标准气体