欢迎光临:莱耀标准品网!
 您的位置:对照品 > 对照品 > 对照药材 >
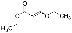
3-Ethoxyacrylic Acid Ethyl Ester-13C2(cis/trans-Mixture)
产品基本信息
产品编号:E890902
产品名称:3-Ethoxyacrylic Acid Ethyl Ester-13C2 (cis/trans-Mixture)
产品CAS:
规格含量:10mg
产品价格:面议
联系我们:
产品详细介绍
标准品编号: E890902
名称: 3-Ethoxyacrylic Acid Ethyl Ester-13C2 (cis/trans-Mixture)
参考CAS: 1001-26-9
分子式: C₅¹³C₂H₁₂O₃
分子量: 146.15
种类: Building Blocks; Isotopic Labeled Analogues;
应用: 3-Ethoxyacrylic Acid Ethyl Ester-13C2 is an intermediate used in the synthesis of 2-Chloro-5-thiazolecarboxylic Acid-13C3,15N (C411468), which is an isotopically labeled analog of 2-Chloro-5-thiazolecarboxylic Acid (C411465), which was studied as one of the metabolites of thiamethoxam, clothianidin, and dinotefuran in mice.
参考文献


2011-2018 信阳莱耀生物科技有限公司 @ 信阳埃尔文生物科技有限公司版权所有

中检所标准品,对照品,标准气体
Keywords: 中检所标准品 对照品 标准气体