欢迎光临:莱耀标准品网!
 您的位置:对照品 > 对照品 > 对照药材 >
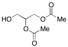
1,2-Diacetin (~90%)
产品基本信息
产品编号:D304605
产品名称:1,2-Diacetin (~90%)
产品CAS:102-62-5
规格含量:250mg
产品价格:面议
联系我们:
产品详细介绍
标准品编号: D304605
名称: 1,2-Diacetin (~90%)
别名: (Hydroxymethyl)ethylene Acetate; 1,2-Diacetylglycerol; 2,3-Diacetin; 2,3-Diacetoxypropan-1-ol; Glycerol 1,2-Diacetate; NSC 2348
CAS号: 102-62-5
参考CAS号: Possible cas#: 25395-31-7; 1300-63-6 29860-16-0; 1
分子式: C₇H₁₂O₅
外观: Clear Colorless Oil
熔点: 未标明外观
分子量: 176.17
储存: Hygroscopic, -20°C Freezer, Under inert atmosphere
溶解性: Chloroform (Slightly), DMSO (Slightly), Ethyl Acetate (Slightly)
稳定性: temperature sensitive, Blue Ice
种类: Standards; Lipids/Fatty Acids, Glycerol Derivatives;
应用: 1,2-Diacetin is a derivative of Triacetin (T720850) which is used as a food additive and flavorings. Triacetin can be used as an excipient in pharmaceutical products where it is used as a humectant, a plasticizer, and as a solvent. Triacetin can also be used as a fuel additive as an antiknock agent.
参考文献


2011-2018 信阳莱耀生物科技有限公司 @ 信阳埃尔文生物科技有限公司版权所有

中检所标准品,对照品,标准气体
Keywords: 中检所标准品 对照品 标准气体