欢迎光临:莱耀标准品网!
 您的位置:对照品 > 对照品 > 对照药材 >
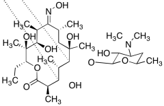
5-O-Desosaminylerythronolide A Oxime
产品基本信息
产品编号:D297110
产品名称:5-O-Desosaminylerythronolide A Oxime
产品CAS:53066-43-6
规格含量:500mg
产品价格:面议
联系我们:
产品详细介绍
标准品编号: D297110
名称: 5-O-Desosaminylerythronolide A Oxime
别名: Oxacyclotetradecane Erythromycin Derivative; 3-​O-​De(2,​6-​dideoxy-​3-​C-​methyl-​3-​O-​methyl-​α-​L-​ribo-​hexopyranosyl)​-erythromycin 9-​Oxime
CAS号: 53066-43-6
分子式: C₂₉H₅₄N₂O₁₀
外观: 白色固体
分子量: 590.75
溶解性: Dichloromethane, Chloroform, Methanol
种类: Standards; Others; Pharmaceutical/API Drug Impurities/Metabolites; Antibotics;
应用: 5-O-Desosaminylerythronolide A Oxime is an intermediate in synthesizing Erythrolosamine (E649910), a derivative of Erythromycin A Oxime (E650010), which displays no antibacterial activity. It is a potent precursor of ketolide antibiotics.
参考文献


2011-2018 信阳莱耀生物科技有限公司 @ 信阳埃尔文生物科技有限公司版权所有

中检所标准品,对照品,标准气体
Keywords: 中检所标准品 对照品 标准气体