欢迎光临:莱耀标准品网!
 您的位置:对照品 > 对照品 > 对照药材 >
Des(5-chloro-2-animocarboxythienyl) 4-(3-Oxo-4-morpholinyl) Phenylanimomethyl-2-oxo-3-oxaz
产品基本信息
产品编号:D282065
产品名称:Des(5-chloro-2-animocarboxythienyl) 4-(3-Oxo-4-morpholinyl) Phenylanimomethyl-2-oxo-3-oxaz
产品CAS:
规格含量:5mg
产品价格:面议
联系我们:
产品详细介绍
标准品编号: D282065
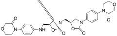
名称: Des(5-chloro-2-animocarboxythienyl) 4-(3-Oxo-4-morpholinyl) Phenylanimomethyl-2-oxo-3-oxazolidinyl] Rivaroxaban
别名: 4-(4-((((S)-2-Oxo-3-(((S)-2-oxo-3-(4-(3-oxomorpholino)phenyl)oxazolidin-5-yl)methyl)oxazolidin-5-yl)methyl)amino)phenyl)morpholin-3-one
分子式: C₂₈H₃₁N₅O₈
分子量: 565.57
种类: Research Tools; Molecular Biology; Enzyme Activators and Inhibitors;
应用: Des(5-chloro-2-animocarboxythienyl) 4-(3-Oxo-4-morpholinyl) Phenylanimomethyl-2-oxo-3-oxazolidinyl] Rivaroxaban is an impurity of Rivaroxaban (R538000), a highly potent and selective, direct FXa inhibitor.
参考文献


2011-2018 信阳莱耀生物科技有限公司 @ 信阳埃尔文生物科技有限公司版权所有

中检所标准品,对照品,标准气体
Keywords: 中检所标准品 对照品 标准气体