欢迎光临:莱耀标准品网!
 您的位置:对照品 > 对照品 > 对照药材 >
O-3-Deoxy-3-(formylamino)-α-D-glucopyranosyl-(1→6)-O-[2,3,6-trideoxy-2,
产品基本信息
产品编号:D232540
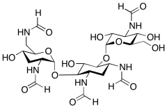
产品名称:O-3-Deoxy-3-(formylamino)-α-D-glucopyranosyl-(1→6)-O-[2,3,6-trideoxy-2,
产品CAS:55480-32-5
规格含量:10mg
产品价格:面议
联系我们:
产品详细介绍
标准品编号: D232540
名称: O-3-Deoxy-3-(formylamino)-α-D-glucopyranosyl-(1→6)-O-[2,3,6-trideoxy-2,6-bis(formylamino)-α-D-ribo-hexopyranosyl-(1→4)]-2-deoxy-N,N'-diformyl-D-streptamine
CAS号: 55480-32-5
分子式: C₂₃H₃₇N₅O₁₄
分子量: 607.56
种类: Standards; Carbohydrates and Oligosaccharides;
应用: O-3-Deoxy-3-(formylamino)-α-D-glucopyranosyl-(1→6)-O-[2,3,6-trideoxy-2,6-bis(formylamino)-α-D-ribo-hexopyranosyl-(1→4)]-2-deoxy-N,N'-diformyl-D-streptamine is an intermediate used in the synthesis of 3-N-Ureido Tobramycin Tetrahydrochloride Salt (1:2 mixture of 3-N-Ureido:1-N-Ureido, Technical Grade) (U824500), which is a related compound of Tobramycin (T524000).
参考文献


2011-2018 信阳莱耀生物科技有限公司 @ 信阳埃尔文生物科技有限公司版权所有

中检所标准品,对照品,标准气体
Keywords: 中检所标准品 对照品 标准气体