欢迎光临:莱耀标准品网!
 您的位置:对照品 > 对照品 > 对照药材 >
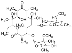
N-Demethyl Erythromycin A-d3
产品基本信息
产品编号:D230932
产品名称:N-Demethyl Erythromycin A-d3
产品CAS:
规格含量:10mg
产品价格:面议
联系我们:
产品详细介绍
标准品编号: D230932
名称: N-Demethyl Erythromycin VIP(LA)d3
别名: N-Demethyl-erythromycin-d3; Des-N-methylerythromycin-d3; Demethylerythromycin-d3; USP Clarithromycin Impurity R-d3
参考CAS号: 未标记:992-62-1
分子式: C₃₆H₆₂D₃NO₁₃
分子量: 722.92
种类: Building Blocks; Isotopic Labeled Analogues;
应用: N-Demethyl Erythromycin VIP(LA)d3 is the labeled analogue of N-Demethyl Erythromycin A (D230930), a metabolite of Erythromycin (E649950).
参考文献


2011-2018 信阳莱耀生物科技有限公司 @ 信阳埃尔文生物科技有限公司版权所有

中检所标准品,对照品,标准气体
Keywords: 中检所标准品 对照品 标准气体