您的位置:对照品 > 对照品 > Witega > |
|
|
|
| 产品基本信息 |
|
| 产品编号:C44H70O16 |
| 产品名称:重楼皂苷I(重楼皂甙I)对照品 |
| 产品CAS:50773-41-6 |
| 规格含量:20mg |
| 产品价格:800 |
| 联系我们: |
|
|
|
|
|
| 产品详细介绍 |
|
中文名称 |
重楼皂苷I对照品 |
中文别名 |
重楼皂甙I |
|
英文名 |
Polyphyllin I |
英文别名 |
Chonglou saponin I |
|
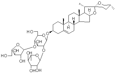
分子式 |
|
C44H70O16 |
分子量 |
855.02 |
CAS登录号 |
50773-41-6 |
|
|
提取来源 |
|
百合科植物云南重楼Paris yunnanensis Franch的根茎 |
化学结构 |
|
|
外观 |
|
白色粉末 |
 |
|
NMR; MS |
|
4℃冷藏、密封、避光 |
|
2年 |
|
无 |
|
|
鉴别方法 |
|
贮存条件 |
|
有效期 |
|
注意事项 |
|
溶解性 |
不溶于水、石油醚、苯,可溶于甲醇、乙醇。 |
|
测定方法 |
色谱柱: Waters Symmetry ShieldTM RP18; 流动相: 乙腈-水( 41:59), 流速: 1 mL/min, 检测波长203 nm。理论塔板数重楼皂苷Ⅰ峰计算不低于3 000。 |
|
药典测定方法 |
补充中 |
|
用途 |
用于含量测定/鉴定/药理实验等 |
|
|
|
|
|