您的位置:对照品 > 对照品 > Supelco > |
|
|
|
| 产品基本信息 |
|
| 产品编号:C36H62O8 |
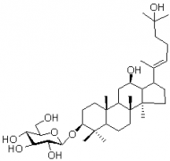
| 产品名称:拟人参皂苷Rh2(3-O-β-D-吡喃葡萄糖基-3β,12β,25-三羟基达玛-(E)-20(22)烯) |
| 产品CAS:1370264-16-6 |
| 规格含量:5mg |
| 产品价格:1000 |
| 联系我们: |
|
|
|
|
|
| 产品详细介绍 |
|
中文名称 |
拟人参皂苷Rh2对照品 |
中文别名 |
3-O-β-D-吡喃葡萄糖基-3β,12β,25-三羟基达玛-(E)-20(22)烯 |
|
英文名 |
Pseudoginsenoside Rh2 |
英文别名 |
3-O-β-D-glucopyranosyl-3β,12β,25-trihydroxyl dammar-(E)-20(22)-ene |
|
分子式 |
|
C36H62O8 |
分子量 |
622.87 |
CAS登录号 |
1370264-16-6 |
|
|
提取来源 |
|
五加科植物人参Panax ginseng C. A. Mey.的干燥根 |
化学结构 |
|
|
外观 |
|
白色粉末 |
 |
|
NMR; MS |
|
4℃冷藏、密封、避光 |
|
2年 |
|
无 |
|
|
鉴别方法 |
|
贮存条件 |
|
有效期 |
|
注意事项 |
|
溶解性 |
易溶于甲醇、乙醇、正丁醇,不溶于水 |
|
测定方法 |
补充中 |
|
药典测定方法 |
补充中 |
|
用途 |
用于含量测定/鉴定/药理实验等 |
|
|
|
|
|