您的位置:对照品 > 对照品 > Supelco > |
|
|
|
| 产品基本信息 |
|
| 产品编号:C38H48O19 |
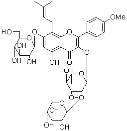
| 产品名称:朝藿定B(淫羊霍定B)对照品 |
| 产品CAS:110623-73-9 |
| 规格含量:20mg |
| 产品价格:800 |
| 联系我们: |
|
|
|
|
|
| 产品详细介绍 |
|
中文名称 |
朝藿定B对照品 |
中文别名 |
淫羊霍定B |
|
英文名 |
Epimedin B |
英文别名 |
补充中 |
|
分子式 |
|
C38H48O19 |
分子量 |
808.78 |
CAS登录号 |
110623-73-9 |
|
|
提取来源 |
|
小檗科植物心叶淫羊藿Epimedium brevicornum Maxim.的干燥地上部分。 |
化学结构 |
|
|
外观 |
|
黄色粉末(氯仿-甲醇) |
 |
|
NMR; MS |
|
4℃冷藏、密封、避光 |
|
2年 |
|
无 |
|
|
鉴别方法 |
|
贮存条件 |
|
有效期 |
|
注意事项 |
|
溶解性 |
补充中 |
|
测定方法 |
HPLC法,以十八烷基硅烷键合硅胶为填料,以乙腈( A) - 水( B ), 梯度洗脱( 0~ 8 min, 27% A; 8~ 30 min, 27%-29% A), 流速1 mL• min- 1, 检测波长270 nm。 |
|
药典测定方法 |
补充中 |
|
用途 |
用于含量测定/鉴定/药理实验等 |
|
|
|
|
|