您的位置:对照品 > 对照品 > Supelco > |
|
|
|
| 产品基本信息 |
|
| 产品编号:C59H96O27 |
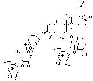
| 产品名称:灰毡毛忍冬皂苷甲对照品 |
| 产品CAS:140360-29-8 |
| 规格含量:20mg |
| 产品价格:800 |
| 联系我们: |
|
|
|
|
|
| 产品详细介绍 |
|
中文名称 |
灰毡毛忍冬皂苷甲对照品 |
中文别名 |
无 |
|
英文名 |
Macranthoidin A |
英文别名 |
Giganteaside J, Giganteoside J |
|
分子式 |
|
C59H96O27 |
分子量 |
1237.38 |
CAS登录号 |
140360-29-8 |
|
|
提取来源 |
|
|
外观 |
|
白色粉末 |
 |
|
NMR,MS |
|
4℃冷藏、密封、避光 |
|
2年 |
|
无 |
|
|
鉴别方法 |
|
贮存条件 |
|
有效期 |
|
注意事项 |
|
溶解性 |
容易甲醇,DMSO,吡啶 |
|
测定方法 |
乙腈/水=28/72, 50min,0.8mL/min,Alltech ELSD2000ES |
|
药典测定方法 |
无 |
|
用途 |
用于含量测定/鉴定/药理实验等 |
|
|
|
|
|