您的位置:对照品 > 对照品 > NU-Chek > |
|
|
|
| 产品基本信息 |
|
| 产品编号:C32H45NO10 |
| 产品名称:苯甲酰乌头原碱对照品 |
| 产品CAS:466-24-0 |
| 规格含量:20mg |
| 产品价格:1280 |
| 联系我们: |
|
|
|
|
|
| 产品详细介绍 |
|
中文名称 |
苯甲酰乌头原碱对照品 |
中文别名 |
补充中 |
|
英文名 |
Benzoylaconine |
英文别名 |
Benzaconine; Isaconitine; Pikraconitin |
|
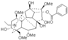
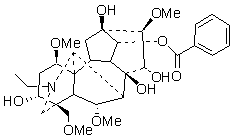
分子式 |
|
C32H45NO10 |
分子量 |
603.70 |
CAS登录号 |
466-24-0 |
|
|
提取来源 |
|
乌头属欧乌头、川乌、北草乌和华乌头等多种植物 |
化学结构 |
|
|
外观 |
|
白色针晶粉 |
 |
|
NMR; MS |
|
4℃冷藏、密封、避光 |
|
2年 |
|
无 |
|
|
鉴别方法 |
|
贮存条件 |
|
有效期 |
|
注意事项 |
|
溶解性 |
补充中 |
|
测定方法 |
HPLC法,使用AichromBond-1 C18柱(250 mm×4.6 mm ID);流动相:乙腈-5 mmol•L-1NaH2PO4溶液,磷酸调至pH 4.5(50:50),内含7 mmol•L-1十二烷基硫酸钠(SDS);检测波长:235 nm;流速:1.0 mL•min-1;柱温:35℃. |
|
药典测定方法 |
补充中 |
|
用途 |
用于含量测定/鉴定/药理实验等 |
|
|
|
|
|