您的位置:对照品 > 对照品 > NIST > |
|
|
|
| 产品基本信息 |
|
| 产品编号:C47H76O18 |
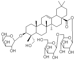
| 产品名称:川续断皂苷VI(木通皂苷D)对照品 |
| 产品CAS:39524-08-8 |
| 规格含量:20mg |
| 产品价格:400 |
| 联系我们: |
|
|
|
|
|
| 产品详细介绍 |
|
中文名称 |
川续断皂苷VI对照品 |
中文别名 |
木通皂苷D |
|
英文名 |
Asperosaponin Ⅵ |
英文别名 |
Akebia saponin D |
|
分子式 |
|
C47H76O18 |
分子量 |
929.10 |
CAS登录号 |
39524-08-8 |
|
|
提取来源 |
|
川续断科植物川续断Dipsacus asperoides C. Y. Cheng et T .M. Ai.的根 |
化学结构 |
|
|
外观 |
|
白色结晶 |
 |
|
NMR; MS |
|
4℃冷藏、密封、避光 |
|
2年 |
|
无 |
|
|
鉴别方法 |
|
贮存条件 |
|
有效期 |
|
注意事项 |
|
溶解性 |
1g溶于87ml水、3ml沸水。 |
|
测定方法 |
HPLC法,以色谱柱:Diamonsil C18反相柱(5μm X 250mm×4.6mm),流动相:乙腈-水(30:70),柱温为35℃,流速:1.0mL/min,检测波长:212nm。 |
|
药典测定方法 |
补充中 |
|
用途 |
用于含量测定/鉴定/药理实验等 |
|
|
|
|
|