|
中文名称 |
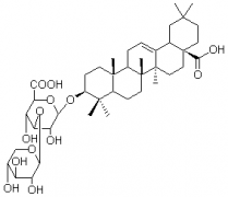
地肤子皂苷Ic对照品 |
中文别名 |
补充中 |
|
英文名 |
Momordin Ic |
英文别名 |
28-Noroleanane, β-D-glucopyranosiduronic acid deriv |
|
分子式 |
|
C41H64O13 |
分子量 |
764.93 |
CAS登录号 |
96990-18-0 |
|
|
提取来源 |
|
为藜科一年生草本植物地肤子Kochia scoparia(L.)Schrad 的成熟果实 |
化学结构 |
|
|
外观 |
|
类白色结晶粉末 |
 |
|
NMR,MS |
|
4℃冷藏、密封、避光 |
|
2年 |
|
无 |
|
|
鉴别方法 |
|
贮存条件 |
|
有效期 |
|
注意事项 |
|
溶解性 |
补充中 |
|
测定方法 |
HPLC法 色谱柱:Diamosil C18,以甲醇一水一冰醋酸(85:15:0.2)为流动相,蒸发光散射检测器检测,漂移管温度107℃。理论板数按地肤子皂苷Ic峰计算应不低于3000。 |
|
药典测定方法 |
HPLC法 色谱柱:Diamosil C18,以甲醇一水一冰醋酸(85:15:0.2)为流动相,蒸发光散射检测器检测,漂移管温度107℃。理论板数按地肤子皂苷Ic峰计算应不低于3000。 |
|
用途 |
用于含量测定/鉴定/药理实验等 |