欢迎光临:莱耀标准品网!
 您的位置:对照品 > 对照品 > 化学对照品 >
毛蕊花糖苷(麦角甾苷)
产品基本信息
产品编号:YJ-111530
产品名称:毛蕊花糖苷(麦角甾苷)
产品CAS:61276-17-3
规格含量:20mg/支
产品价格:1440元
联系我们:
产品详细介绍

  毛蕊花糖苷(麦角甾苷)

  类别:化学对照品
  批号:111530-201713
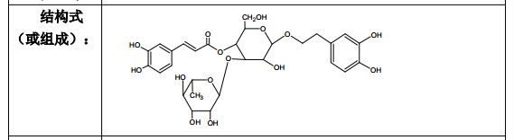
  结构式:
毛蕊花糖苷 (麦角甾苷)对照品
  分子式: C29H36O15
  分子量: 624.59
  CAS 号: 61276-17-3
  用途: 毛蕊花糖苷(麦角甾苷)(Verbascoside(Acteoside))对照品系供中国药典 2015 版一部大叶紫珠、车前子、地黄、熟地黄、肉苁蓉、紫珠叶等项下鉴别和含量测定用。使用前不需干燥处理。含量以 96.7%计。
  包装: 棕色安瓿瓶
  装量: 棕色安瓿瓶,约 20mg/支
  贮藏: 冷冻避光保存
  类别:中检所
  注意事项: 本品具引湿性,打开包装后一次使用完毕。
  本品还对光敏感,配制对照品溶液时应避光保护,并应立即进样分析。
  请按照说明书规定使用,若作他用,用户须自行证明适用性。


2011-2018 信阳莱耀生物科技有限公司 @ 信阳埃尔文生物科技有限公司版权所有

中检所标准品,对照品,标准气体
Keywords: 中检所标准品 对照品 标准气体