您的位置:对照品 > 对照品 > 工作对照品 > |
|
|
|
| 产品基本信息 |
|
| 产品编号:N408500 |
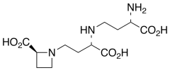
| 产品名称:Nicotianamine |
| 产品CAS:34441-14-0 |
| 规格含量:2mg |
| 产品价格:面议 |
| 联系我们: |
|
|
|
|
|
| 产品详细介绍 |
| 标准品编号: |
N408500 |
| 名称: |
Nicotianamine |
| 别名: |
(αS,2S)-α-[[(3S)-3-Amino-3-carboxypropyl]amino]-2-carboxy-1-azetidinebutanoic Acid; [2S-[1[αR*(R*)],2R*]]-α-[(3-Amino-3-carboxypropyl)amino]-2-carboxy-1-azetidinebutanoic Acid |
| CAS号: |
34441-14-0 |
| 分子式: |
C₁₂H₂₁N₃O₆ |
| 外观: |
白色至白色固体 |
| 熔点: |
>200°C (dec.) |
| 分子量: |
303.31 |
| 储存: |
Hygroscopic, -20˚C Freezer, Under Inert Atmosphere |
| 溶解度: |
Methanol (Slightly), Water (Slightly) |
| 种类: |
Standards; Amino Acids; |
| 应用: |
Phytosiderophores are produced in higher plants as iron chelating amino acids that promote uptake of iron from soil. |
| 参考文献 |
|
|
|
|
|
|
|
|