欢迎光临:莱耀标准品网!
 您的位置:对照品 > 对照品 > 工作对照品 >
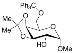
Methyl 3,4-O-Isopropylidene-6-O-trityl-α-D-galactopyranoside
产品基本信息
产品编号:M314730
产品名称:Methyl 3,4-O-Isopropylidene-6-O-trityl-α-D-galactopyranoside
产品CAS:53685-07-7
规格含量:250mg
产品价格:面议
联系我们:
产品详细介绍
标准品编号: M314730
名称: Methyl 3,4-O-Isopropylidene-6-O-trityl-α-D-galactopyranoside
别名: Methyl 3,4-O-(1-Methylethylidene)-6-O-(trimphenylmethyl)-α-D-galactopyranoside
CAS号: 53685-07-7
分子式: C₂₉H₃₂O₆
外观: White Foam
分子量: 476.56
溶解度: Chloroform, Dichloromethane, Ethyl Acetate, Methanol
种类: Building Blocks; Carbohydrates and Oligosaccharides;
应用: Methyl 3,4-O-Isopropylidene-6-O-trityl-α-D-galactopyranoside (cas# 53685-07-7) is a compound useful in organic synthesis.
参考文献


2011-2018 信阳莱耀生物科技有限公司 @ 信阳埃尔文生物科技有限公司版权所有

中检所标准品,对照品,标准气体
Keywords: 中检所标准品 对照品 标准气体