欢迎光临:莱耀标准品网!
 您的位置:对照品 > 对照品 > 工作对照品 >
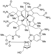
Mecobalamin-13C
产品基本信息
产品编号:M202803
产品名称:Mecobalamin-13C
产品CAS:
规格含量:25mg
产品价格:面议
联系我们:
产品详细介绍
标准品编号: M202803
名称: Mecobalamin-13C
参考CAS号: 13422-55-4
分子式: C₆₂¹³CH₉₁CoN₁₃O₁₄P
分子量: 1345.38
种类: Standards; Isotopic Labeled Analogues; Pharmaceutical/API Drug Impurities/Metabolites; Vitamin Derivatives;
应用: Mecobalamin-13C is labeled Mecobalamin (M202803) which is one of the biologically active forms of vitamin B12; differing only by the substitution of a methyl for the cyano group. Coenzyme required in the biosynthesis of methionine. Vitamin (hematopoietic).
参考文献


2011-2018 信阳莱耀生物科技有限公司 @ 信阳埃尔文生物科技有限公司版权所有

中检所标准品,对照品,标准气体
Keywords: 中检所标准品 对照品 标准气体