欢迎光临:莱耀标准品网!
 您的位置:对照品 > 对照品 > 工作对照品 >
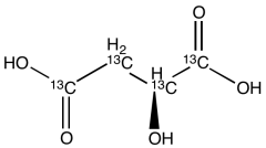
L-(-)-Malic Acid-13C4
产品基本信息
产品编号:M159507
产品名称:L-(-)-Malic Acid-13C4
产品CAS:150992-96-4
规格含量:250mg
产品价格:面议
联系我们:
产品详细介绍
标准品编号: M159507
名称: L-(-)-Malic Acid-13C4
别名: (2S)-2-Hydroxybutanedioic-13C4 Acid; (-)-(S)-Malic Acid-13C4; (-)-Hydroxysuccinic Acid-13C4; (-)-L-Malic Acid-13C4; (-)-Malic Acid-13C4; (2S)-2-Hydroxybutanedioic Acid-13C4; (2S)-2-Hydroxysuccinic Acid-13C4; (2S)-Malic Acid-13C4; (S)-Malic Acid-13C4; Apple Acid-13C4; L-(-)-Malic Acid-13C4; L-Apple Acid-13C4; L-Malic Acid-13C4; NSC 9232-13C4; S-(-)-Malic Acid;-13C4 S-2-Hydroxybutanedioic Acid-13C4;
CAS号: 150992-96-4
参考CAS号: Unlalled: 97-67-6
分子式: ¹³C₄H₆O₅
分子量: 138.06
种类: Building Blocks; Isotopic Labeled Analogues;
应用: Labelled Malic Acid. The naturally occuring isomer is the L-form which has been found in apples and many other fruits and plants. Selective α-amino protecting reagent for amino acid derivatives. Versatile synthon for the preparation of chiral compounds including κ-opioid receptor agonists, 1α,25-dihydroxyvitamin D3 analogue, and phoslactomycin B.
参考文献


2011-2018 信阳莱耀生物科技有限公司 @ 信阳埃尔文生物科技有限公司版权所有

中检所标准品,对照品,标准气体
Keywords: 中检所标准品 对照品 标准气体