欢迎光临:莱耀标准品网!
 您的位置:对照品 > 对照品 > 工作对照品 >
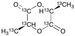
L-(-)-Lactide-13C6
产品基本信息
产品编号:L113603
产品名称:L-(-)-Lactide-13C6
产品CAS:
规格含量:2.5mg
产品价格:面议
联系我们:
产品详细介绍
标准品编号: L113603
名称: L-(-)-Lactide-13C6
别名: L-lactide-13C6, (S,S)-Lactide-13C6; (3S)-cis-3,6-Dimethyl-1,4-dioxane-2,5-dione-13C6;
参考CAS号: 4511-42-6
分子式: ¹³C₆H₈O₄
分子量: 150.08
储存: Hygroscopic, -20°C Freezer, Under inert atmosphere
种类: Building Blocks; Isotopic Labeled Analogues;
应用: L-(-)-Lactide-13C6 is a labelled analogue of L-(-)-Lactide, a cyclic lactic acid derivative used in the ring-opening polymerization of Poly-L-lactic acid (PLLA), which is commonly found in biodegradable plastics.
参考文献


2011-2018 信阳莱耀生物科技有限公司 @ 信阳埃尔文生物科技有限公司版权所有

中检所标准品,对照品,标准气体
Keywords: 中检所标准品 对照品 标准气体