欢迎光临:莱耀标准品网!
 您的位置:对照品 > 对照品 > 工作对照品 >
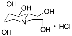
L-Idomiglitol Hydrochloride
产品基本信息
产品编号:I192505
产品名称:L-Idomiglitol Hydrochloride
产品CAS:
规格含量:100mg
产品价格:面议
联系我们:
产品详细介绍
标准品编号: I192505
名称: L-Idomiglitol Hydrochloride
别名: (2S,3S,4R,5S)-1-(2-hydroxyethyl)-2-(hydroxymethyl)-,3,4,5-Piperidinetriol Hydrochloride
参考CAS号: Free Base: 1550201-56-3
分子式: C₈H₁₇NO₅• HCi
分子量: 207.223646
种类: Standards; Pharmaceutical/API Drug Impurities/Metabolites; Carbohydrates and Oligosaccharides;
应用: L-Idomiglitol Hydrochloride is an epimeric analog of the antidiabetic drug miglitol (M344200), a potent α-glucosidase inhibitor. A new antidiabetic drug.
参考文献


2011-2018 信阳莱耀生物科技有限公司 @ 信阳埃尔文生物科技有限公司版权所有

中检所标准品,对照品,标准气体
Keywords: 中检所标准品 对照品 标准气体