欢迎光临:莱耀标准品网!
 您的位置:对照品 > 对照品 > 工作对照品 >
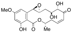
Hypothemycin
产品基本信息
产品编号:H998480
产品名称:Hypothemycin
产品CAS:76958-67-3
规格含量:10mg
产品价格:面议
联系我们:
产品详细介绍
标准品编号: H998480
名称: Hypothemycin
别名: [1aR-(1aR*,3S*,4S*,6Z,9S*,15bR*)]-1a,8,9,15b-Tetrahydro-3,4,12-trihydroxy-14-methoxy-9-methyl-3H-oxireno[k][2]benzoxacyclotetradecin-5,11(2H,4H)-dione; NSC 354462; f 152 D2
CAS号: 76958-67-3
分子式: C₁₉H₂₂O₈
分子量: 378.37
种类: Standards; Enzyme Activators and Inhibitors;
应用: Hypothemycin is a potent and selective inhibitor of threonine/tyrosine-specific kinase, MEK, and other protein kinases that contain a conserved cysteine residue in the ATP-binding site in in vitro studies.
参考文献


2011-2018 信阳莱耀生物科技有限公司 @ 信阳埃尔文生物科技有限公司版权所有

中检所标准品,对照品,标准气体
Keywords: 中检所标准品 对照品 标准气体