欢迎光临:莱耀标准品网!
 您的位置:对照品 > 对照品 > 工作对照品 >
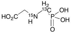
Glyphosate-13C,15N
产品基本信息
产品编号:G765012
产品名称:Glyphosate-13C,15N
产品CAS:
规格含量:2.5mg
产品价格:面议
联系我们:
产品详细介绍
标准品编号: G765012
名称: Glyphosate-13C,15N
别名: (Carboxymethylamino)methylphosphonic Acid-13C,15N; GlyGran-13C,15N; Glyfos-13C,15N; Glyphodin VIP(LA)13C,15N; Glyphomax-13C,15N; Glyphosate-13C,15N; Glyphosate CT-13C,15N; Herbatop-13C,15N; Hockey-13C,15N; Kickdown-13C,15N; Klinik-13C,15N; Lancer-13C,15N; Phosphonomethyliminoacetic Acid-13C,15N; Roundup Max-13C,15N; NSC 151063-13C,15N;
分子式: C₂¹³CH₈¹⁵NO₅P
分子量: 171.06
种类: Standards; Isotopic Labeled Analogues; Environmental Standards, Mutagens and Metabolites; Pesticides;
应用: Glyphosate-13C,15N is the labelled analogue of Glyphosate (G765000), which is used as a herbicide.
参考文献


2011-2018 信阳莱耀生物科技有限公司 @ 信阳埃尔文生物科技有限公司版权所有

中检所标准品,对照品,标准气体
Keywords: 中检所标准品 对照品 标准气体