欢迎光临:莱耀标准品网!
 您的位置:对照品 > 对照品 > 工作对照品 >
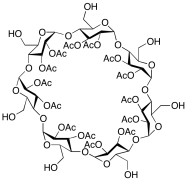
Heptakis(2,3-di-O-acetyl)-β-cyclodextrin
产品基本信息
产品编号:H281080
产品名称:Heptakis(2,3-di-O-acetyl)-β-cyclodextrin
产品CAS:116389-66-3
规格含量:100mg
产品价格:面议
联系我们:
产品详细介绍
标准品编号: H281080
名称: Heptakis(2,3-di-O-acetyl)-β-cyclodextrin
别名: 2,4,7,9,12,14,17,19,22,24,27,29,32,34-Tetradecaoxaoctacyclo[31.2.2.23,6.28,11.213,16.218,21.223,26.228,31]nonatetracontane β-Cyclodextrin Deriv.; Per-2,3-acetyl-β-cyclodextrin; 2A,2B,2C,2D,2E,2F,2G,3A,3B,3C,3D,3E,3F,3G-Tetradecaacetate-β-cyclodextrin
CAS号: 116389-66-3
分子式: C₇₀H₉₈O₄₉
外观: white solid
分子量: 1723.5
溶解度: DCM, Methanol
种类: Standards; Chiral Molecules; Pharmaceutical/API Drug Impurities/Metabolites; Carbohydrates and Oligosaccharides;
应用: Heptakis(2,3-di-O-acetyl)-β-cyclodextrin is an intermediate formed in the synthesis of Heptakis(6-O-sulfo)-β-cyclodextrin Heptasodium Salt (H281125), a β-Cyclodextrin derivative that inhibits anthrax lethal toxin. Chiral selector for capillary electrophorese, CE.
参考文献


2011-2018 信阳莱耀生物科技有限公司 @ 信阳埃尔文生物科技有限公司版权所有

中检所标准品,对照品,标准气体
Keywords: 中检所标准品 对照品 标准气体