欢迎光临:莱耀标准品网!
 您的位置:对照品 > 对照品 > 工作对照品 >
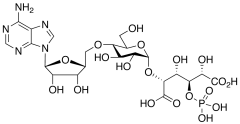
β-Exotoxin
产品基本信息
产品编号:E962500
产品名称:β-Exotoxin
产品CAS:23526-02-5
规格含量:100mg
产品价格:面议
联系我们:
产品详细介绍
标准品编号: E962500
名称: β-Exotoxin
别名: O-5'-Deoxyadenosin-5'-yl-(5'→4)-O-α-D-glucopyranosyl-(1→2)-D-allaric Acid 4-(Dihydrogen Phosphate); Di Beta; NSC 197177; Thuringiensin; Thuringiensin A; Thurintox; Exotoxin;
CAS号: 23526-02-5
分子式: C₂₂H₃₂N₅O₁₉P
分子量: 701.49
种类: Standards; Environmental Standards, Mutagens and Metabolites; Carbohydrates and Oligosaccharides;
应用: β-Exotoxin is a thermostable metabolite produced by some strains of Bacillus thuringiensis. β-Exotoxin can be used to screen and quantify indigenous thuringiensin-producing Bacillus thuringiensis isolates. β-Exotoxin can cause damage to the host by destroying cells or disrupting normal cellular metabolism.
危险品: Not a dangerous good if item is equal to or less than 1g/ml and there is less than 100g/ml in the package
参考文献


2011-2018 信阳莱耀生物科技有限公司 @ 信阳埃尔文生物科技有限公司版权所有

中检所标准品,对照品,标准气体
Keywords: 中检所标准品 对照品 标准气体