欢迎光临:莱耀标准品网!
 您的位置:对照品 > 对照品 > 工作对照品 >
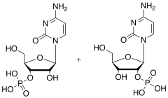
Cytidine 3'(2’)-Monophosphate
产品基本信息
产品编号:C998310
产品名称:Cytidine 3'(2’)-Monophosphate
产品CAS:
规格含量:10mg
产品价格:面议
联系我们:
产品详细介绍
标准品编号: C998310
名称: Cytidine 3'(2’)-Monophosphate
别名: 3'(2’)-Cytidylic Acid; 3'(2’)-CMP; 3'(2’)-Cytidinephosphoric Acid; 3'(2’)-Cytosylic Acid; Ribocytidine 3'(2’)-Monophosphate;
参考CAS号: for 3’ (84-52-6) and for 2’ (85-94-9),
分子式: C₉H₁₄N₃O₈P
外观: 白色至白色固体
熔点: >142°C (dec.)
分子量: 323.2
储存: Hygroscopic, -20°C Freezer, Under inert atmosphere
溶解性: Water (Slightly)
稳定性: Hygroscopic
种类: Standards; Pharmaceutical/API Drug Impurities/Metabolites; Carbohydrates and Oligosaccharides;
应用: A metabolite of Cytidine (C998300). A highly specific phosphatase that acts on ADP-ribose 1''-phosphate, a metabolite of tRNA splicing in Saccharomyces cerevisiae.
参考文献


2011-2018 信阳莱耀生物科技有限公司 @ 信阳埃尔文生物科技有限公司版权所有

中检所标准品,对照品,标准气体
Keywords: 中检所标准品 对照品 标准气体