欢迎光临:莱耀标准品网!
 您的位置:对照品 > 对照品 > 国家对照品 >
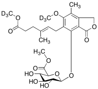
Mycophenolic Acid Methyl Ester-d6 6-(β-D-glucuronic Acid Methyl Ester)
产品基本信息
产品编号:M831549
产品名称:Mycophenolic Acid Methyl Ester-d6 6-(β-D-glucuronic Acid Methyl Ester)
产品CAS:
规格含量:2.5mg
产品价格:面议
联系我们:
产品详细介绍
标准品编号: M831549
名称: Mycophenolic Acid Methyl Ester-d6 6-(β-D-glucuronic Acid Methyl Ester)
分子式: C₂₅H₂₆D₆O₁₂
分子量: 530.55
种类: Standards; Isotopic Labeled Analogues;
应用: Mycophenolic Acid Methyl Ester-d6 6-(β-D-glucuronic Acid Methyl Ester) is an intermediate used in the synthesis of Mycophenolic Acid-d3 β-D-Glucuronide (M831522), which is a labelled metabolite of Mycophenolic Acid, an antibiotic produced by Penicillium brevi-compactum, P. Stoloniferum and related spp. A selective inhibitor of lymphocyte proliferation by blocking inosine monophosphate dehydrogenase, an enzyme involved in the de novo synthesis of purine nucleotides.
参考文献


2011-2018 信阳莱耀生物科技有限公司 @ 信阳埃尔文生物科技有限公司版权所有

中检所标准品,对照品,标准气体
Keywords: 中检所标准品 对照品 标准气体