您的位置:对照品 > 对照品 > 国家对照品 > |
|
|
|
| 产品基本信息 |
|
| 产品编号:M515600 |
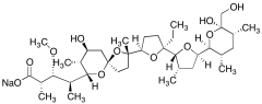
| 产品名称:Monensin Sodium Salt |
| 产品CAS:22373-78-0 |
| 规格含量:100mg |
| 产品价格:面议 |
| 联系我们: |
|
|
|
|
|
| 产品详细介绍 |
| 标准品编号: |
M515600 |
| 名称: |
Monensin Sodium Salt |
| 别名: |
2-[5-Ethyltetrahydro-5-[tetrahydro-3-methyl-5-[tetrahydro-6-hydroxy-6-(hydroxymethyl)-3,5-dimethyl-2H-pyran-2-yl]-2-furyl]-2-furyl]-9-hydroxy-β-methoxy-α,γ,2,8-tetramethyl-1,6-dioxaspiro[4.5]decane-7-butyric Acid Sodium; A 3823A; Coban; Rumensin; |
| CAS号: |
22373-78-0 |
| 参考CAS号: |
17090-79-8-free acid |
| 分子式: |
C₃₆H₆₁NaO₁₁ |
| 外观: |
白色至Pale Beige Solid |
| 熔点: |
>225˚C (dec.) |
| 分子量: |
692.85 |
| 储存: |
-20°C Freezer, Under Inert Atmosphere |
| 溶解度: |
Chloroform (Slightly), Methanol (Sparingly), Sonicated) |
| 稳定性: |
Hygroscopic |
| 种类: |
Standards; Chiral Molecules; Others; Pharmaceutical/API Drug Impurities/Metabolites; Antibotics; |
| 应用: |
Polyether antibiotic. Coccidiostat. |
| 危险品: |
Not a dangerous good if item is equal to or less than 1g/ml and there is less than 100g/ml in the package |
| 参考文献 |
|
|
|
|
|
|
|
|