欢迎光临:莱耀标准品网!
 您的位置:对照品 > 对照品 > 国家对照品 >
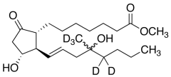
(8R,11R,12R,16RS)-Misoprostol-d5
产品基本信息
产品编号:M368752
产品名称:(8R,11R,12R,16RS)-Misoprostol-d5
产品CAS:
规格含量:10mg
产品价格:面议
联系我们:
产品详细介绍
标准品编号: M368752
名称: (8R,11R,12R,16RS)-Misoprostol-d5
别名: (11α,13E)-11,16-Dihydroxy-16-methyl-9-oxoprost-13-en-1-oic Acid-d5 Methyl Ester; Cytotec-d5; Misogon-d5; Misoprostil-d5; SC 29333-d5;
参考CAS号: 类似: 59122-46-2
分子式: C₂₂H₃₃D₅O₅
外观: Pale Yellow Oil
熔点: N/A
分子量: 387.56
储存: -20°C Freezer
溶解度: Chloroform, Ethyl Acetate
种类: Standards; Isotopic Labeled Analogues; Pharmaceutical/API Drug Impurities/Metabolites; Lipids/Fatty Acids, Glycerol Derivatives;
应用: Labelled Misoprostol, a cytoprotective prostaglandin PGE1 analogue. This compound is a mixture of only 2 diastereomers as opposed to the double racemate (4 diasteromers) of misoprostol.
危险品: Not a dangerous good if item is equal to or less than 1g/ml and there is less than 100g/ml in the package
参考文献


2011-2018 信阳莱耀生物科技有限公司 @ 信阳埃尔文生物科技有限公司版权所有

中检所标准品,对照品,标准气体
Keywords: 中检所标准品 对照品 标准气体