欢迎光临:莱耀标准品网!
 您的位置:对照品 > 对照品 > 国家对照品 >
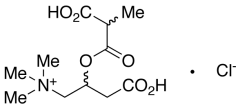
Methylmalonyl DL-Carnitine Chloride (Mixture of Diastereomers)
产品基本信息
产品编号:M318900
产品名称:Methylmalonyl DL-Carnitine Chloride (Mixture of Diastereomers)
产品CAS:821794-54-1
规格含量:500mg
产品价格:面议
联系我们:
产品详细介绍
标准品编号: M318900
名称: Methylmalonyl DL-Carnitine Chloride (Mixture of Diastereomers)
别名: 3-Carboxy-2-(2-carboxy-1-oxopropoxy)-N,N,N-trimethyl-1-propanaminium Chloride;
CAS号: 821794-54-1
参考CAS号: free acid: 823176-51-8
分子式: C₁₁H₂₀ClNO₆
外观: Clear Colourless Sticky Solid to Off-White Low Melting Solid
熔点: N/A
分子量: 297.73
储存: Hygroscopic, -20°C Freezer, Under inert atmosphere
溶解度: DMSO (Slightly), Methanol (Slightly), Water (Slightly)
种类: Research Tools; Molecular Biology;
应用: A metabolite of Carnitine used in diagnostic screening of patients with inherited disorders of fatty acid oxidation.
参考文献


2011-2018 信阳莱耀生物科技有限公司 @ 信阳埃尔文生物科技有限公司版权所有

中检所标准品,对照品,标准气体
Keywords: 中检所标准品 对照品 标准气体