欢迎光临:莱耀标准品网!
 您的位置:对照品 > 对照品 > 国家对照品 >
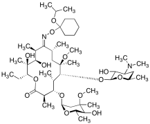
6-O-Methyl-erythromycin 9-[O-[1-(1-Methylethoxy)cyclohexyl]oxime]
产品基本信息
产品编号:M304770
产品名称:6-O-Methyl-erythromycin 9-[O-[1-(1-Methylethoxy)cyclohexyl]oxime]
产品CAS:156715-14-9
规格含量:5mg
产品价格:面议
联系我们:
产品详细介绍
标准品编号: M304770
名称: 6-O-Methyl-erythromycin 9-[O-[1-(1-Methylethoxy)cyclohexyl]oxime]
别名: Oxacyclotetradecane Erythromycin Derivative; (3R,4S,5S,6R,7R,9R,11S,12R,13S,14R,E)-6-(((2S,3R,4S,6R)-4-(Dimethylamino)-3-hydroxy-6-methyltetrahydro-2H-pyran-2-yl)oxy)-14-ethyl-12,13-dihydroxy-4-(((2R,4R,5S,6S)-5-hydroxy-4-methoxy-4,6-dimethyltetrahydro-2H-pyran-2-yl)oxy)-10-(((1-isopropoxycyclohexyl)oxy)imino)-7-methoxy-3,5,7,9,11,13-hexamethyloxacyclotetradecan-2-one
CAS号: 156715-14-9
分子式: C₄₇H₈₆N₂O₁₄
外观: Yellow Oil
分子量: 903.19
溶解度: Dichloromethane
种类: Standards; Pharmaceutical/API Drug Impurities/Metabolites; Carbohydrates and Oligosaccharides;
应用: 6-O-Methyl-erythromycin 9-[O-[1-(1-Methylethoxy)cyclohexyl]oxime] is an intermediate in synthesizing 4'',6-Di-O-methylerythromycin (D472860), which is a derivative of O-Methylerythromycin and may be used in the treatment of lung diseases requiring antibiotics.
参考文献


2011-2018 信阳莱耀生物科技有限公司 @ 信阳埃尔文生物科技有限公司版权所有

中检所标准品,对照品,标准气体
Keywords: 中检所标准品 对照品 标准气体