欢迎光临:莱耀标准品网!
 您的位置:对照品 > 对照品 > 国家对照品 >
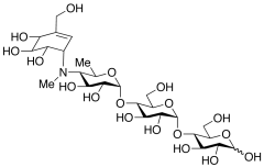
N-Methyl Acarbose
产品基本信息
产品编号:M272100
产品名称:N-Methyl Acarbose
产品CAS:
规格含量:10mg
产品价格:面议
联系我们:
产品详细介绍
标准品编号: M272100
名称: N-Methyl Acarbose
分子式: C₂₆H₄₅NO₁₈
分子量: 659.63
种类: Standards; Pharmaceutical/API Drug Impurities/Metabolites; Carbohydrates and Oligosaccharides;
应用: N-Methyl Acarbose is a derivative compound of Acarbose impurity F (G414500), used in the treatment of chronic diseases such as inflammatory (including allergic) diseases, metastatic cancers and infection by pathogenic agents including bacteria, viruses or parasites.
参考文献


2011-2018 信阳莱耀生物科技有限公司 @ 信阳埃尔文生物科技有限公司版权所有

中检所标准品,对照品,标准气体
Keywords: 中检所标准品 对照品 标准气体