欢迎光临:莱耀标准品网!
 您的位置:对照品 > 对照品 > 国家对照品 >
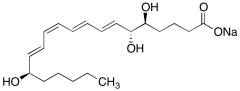
15-epi-Lipoxin A4 Sodium Salt
产品基本信息
产品编号:L468765
产品名称:15-epi-Lipoxin A4 Sodium Salt
产品CAS:
规格含量:2.5mg
产品价格:面议
联系我们:
产品详细介绍
标准品编号: L468765
名称: 15-epi-Lipoxin A4 Sodium Salt
参考CAS号: Free acid: 171030-11-8
分子式: C₂₀H₃₁NaO₅
分子量: 374.45
种类: Standards; Enzyme Activators and Inhibitors; Lipids/Fatty Acids, Glycerol Derivatives;
应用: A trihydroxy fatty acid produced through 15-HETE metabolism. It also inhibited interleukin 12/interferon γ leading to prolonged survival and diminished brain inflammation in a mouse model of cerebral malaria.
参考文献


2011-2018 信阳莱耀生物科技有限公司 @ 信阳埃尔文生物科技有限公司版权所有

中检所标准品,对照品,标准气体
Keywords: 中检所标准品 对照品 标准气体