欢迎光临:莱耀标准品网!
 您的位置:对照品 > 对照品 > 国家对照品 >
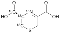
Lanthionine Ketimine-13C3,15N
产品基本信息
产品编号:L175057
产品名称:Lanthionine Ketimine-13C3,15N
产品CAS:
规格含量:2.5mg
产品价格:面议
联系我们:
产品详细介绍
标准品编号: L175057
名称: Lanthionine Ketimine-13C3,15N
别名: (R)-3,6-Dihydro-2H-1,4-thiazine-3,5-dicarboxylic Acid-13C3,15N; (3R)-3,6-Dihydro-2H-1,4-thiazine-3,5-dicarboxylic Acid-13C3,15N; L-Lanthionine Ketimine-13C3,15N;
参考CAS号: Unlabelled: 83923-11-9
分子式: C₃¹³C₃H₇¹⁵NO₄S
分子量: 193.16
种类: Standards; Isotopic Labeled Analogues; Pharmaceutical/API Drug Impurities/Metabolites;
应用: Lanthionine Ketimine-13C3,15N is an isotope labelled form of Lanthionine Ketimine (L175055), which is a natural but nonproteogenic amino acid found in mammalian brain; it is a cyclic thioether analog of Cystine (C995000). Lanthionine Ketimine was reported to have neuroprotective, neuritigenic and anti-inflammatory activities, making it potential candidate for the treatment of neurodegenerative diseases.
参考文献


2011-2018 信阳莱耀生物科技有限公司 @ 信阳埃尔文生物科技有限公司版权所有

中检所标准品,对照品,标准气体
Keywords: 中检所标准品 对照品 标准气体